CH3-CH2-CH2CH2Cl
1-chlorobutane.
CH3-CH2-CHCl-CH3
2-chlorobutane.
en présence de peroxyde et de lumière : (
addition anti-Markownikov)
CH2=CH-CH2-CH3
+ HCl -->
CH3-CH2-CH2CH2Cl
(CH3)2
C=CH2 + HCl --> (CH3)2
CH-CH2Cl
CH2=CH-CH2-CH3 + HCl
-->CH3-CH2-CHCl-CH3
(CH3)2
C=CH2 + HCl -->
(CH3)3 C-Cl
le mélange eau + éthanol constitue un solvant
protique : il solvate bien les carbocations et interagit
avec les anions par liaisons hydrogène.
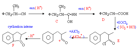
C conduit à un alcool
tertiaire ( 2-méthylpropan-2-ol) par un
mécanisme SN1 :

par contre D est un
halogénure primaire et ne donne pas lieu à la
formation de carbocation.
(CH3)3C-Cl + HO- -->
(CH3)3C-OH + Cl-
La diminution du pourcentage d'eau
entraîne une diminution du pouvoir solvatant du
solvant : la vitesse d'hydrolyse de C ( mécanisme
SN1) va donc diminuer.
CH3-CH2-CH2CH2Cl
+ HO- -->
CH3-CH2-CH2CH2OH
+ Cl-
la vitesse d'hydrolyse de D (
mécanisme SN2) varie peu, la
polarité du solvant a peu d'influence.
Les virages de l'indicateur
coloré est observé pour des temps
voisins.