Aurélie 09/10/07
 

Synthèse d'un isomère de l'acide 2,4-diméthyl-3-hydroxypentanoïque concours CNRS 2003, Nord, Ouest, Ile de France


Google

Shéma de la synthèse :

 

Quels sont les risques associés à la manipulation de NaH ?

L'étiquette porte le pictogramme :

incendie ; effets corrosifs ; intoxication ; effets néfastes pour l'environnement.

Quels sont les risques associés à la manipulation du 2,6-diméthylphénol ?

L'étiquette porte les pictogrammes :  

incendie ; effets corrosifs ; intoxication ; effets néfastes pour l'environnement.


Quelles précautions prendriez-vous en conséquence ?

port d'une blouse ; port de gants adaptés ; port de lunette de sécurité ; travail sous sorbone ; travail avec écran de sécurité ; port d'un appareil respiratoire isolant.


La formation du phénate lors de la première étape s'accompagne de la libération d'hydrogène.

Quelles précautions envisagez-vous pour le dispositif expérimental

- adapter un brûleur pour mesurer le dégagement gazeux

- travailler à -78 °C

- mettre le dispositif sous atmosphèe inerte

- travailler à l'air libre


Où vide t-on les excès d'éther éthilique, solvant de la réaction et d'extraction de la phase organique ?

- avec les solvants non chlorés

- avec les solvants chlorés

- avec les bases

- avec les acides

- à l'évier.

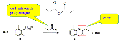
Quelle est la fonction chimique du composé organique C isolé lors de la deuxième étape ?

Proposez une autre méthode de synthèse de ce composé.


La transformation C-->D conduit majoritairement à l'isomère anti du composé D représenté dans l'équation 3. Il se forme aussi en très faible quantité l'isomère syn.

Dessinez sa formule semi-développée.

Quelle(s) technique(s) d'analyse permet(tent) de mesurer les proportions de ces diastéréoisomères formés ?

infrarouge ; RMN ; HPLC ; spectrométrie UV.

 



Protocol expérimental étape 4 :

Quel est le principe de la réaction et du traitement ?

L' hydrolyse basique ( saponification ) de l'ester conduit à un phénol et à un ion carboxylate.

Le passage en milieu acide ( pH inférieur au pKa ) conduit à l'acide carboxylique.


La réaction est effectuée sur une demi-mole de substrat ( C15H22O3 )de départ.

Quelle est la masse de substrat engagée ?

Masse molaire du substrat : M=15*12+22+3*16 = 250 g/mol

masse (g) = quantité de matière (mol) * masse molaire (g/mol)

m= 0,5*250 = 125 g.


On utilise 4 équivalents d'hydroxyde de potassium pour réaliser la saponification de l'ester.

Quelle est la masse de KOH engagée ?

4 équivalents d'hydroxyde de potassium corespond à 4*0,5 = 2 moles de KOH

masse molaire KOH : M= 39+16+1 = 56 g/mol

masse : 56*2 = 112 g.


On récupère 58,4 g d'acide carboxylique ( C7H14O3)

Quel est le nombre de moles correspondant ?

Quel est le rendement ?

masse molaire de l'acide : M= 7*12+14+3*16 = 146 g/mol

quantité de matière (mol) = masse (g) / masse molaire (g/mol)

n = 58,4 / 146 = 0,4 mol

Quantité de matière théorique d'acide : 0,5 mol

rendement = 100 * quantité expérimentale / quantité théorique = 0,4*100 / 0,5 = 80 %.


 


retour -menu