Aurélie 04/10/07
 

Chimie organique : connaissances de base, électrochimie concours CNRS 2003, Nord, Ouest, Ile de France


Google

Faire correspondre les unités ( associer lettre et chiffre)

nanomole ; picomole ; femtomole ; millimole ; micromole

10-3 ; 10-6 ; 10-9 ; 10-12 ; 10-15.

nanomole : 10-9 ; picomole : 10-12 ; femtomole : 10-15 ; millimole : 10-3 ; micromole : 10-6.

Laquelle de ces 4 bases azotées n'entre pas dans la constitution de l'ADN ?

Adénine, cytosine, guanine, uracile.

L'uracile entre dans la constitution de l'ARN.

Donner les bons appariements de base dans la structure de l'ADN.

A -T ; C- T ; A - G ; C - G

A -T ; C - G.


Indiquer si les produits suivants sont des acides ou des bases.

Pyridine ; H3PO4 ; hydrure de sodium ; CF3COOH

acides : H3PO4 ; CF3COOH.

bases : pyridine; hydrure de sodium.


Associer le nom du solvant avec sa formule.

 


Préciser la stéréochimie des composés suivants :.

Quelle est la formule brute de la cortisone ?

C21H28O5.


Quelle est sa masse molaire ?

M= 21*12+28+16*5 = 360 g/mol

 Quels sont les pourcentages d'atomes de carbone et d'hydrogène ?

% C = 21*12 / 360*100 = 70 %

%H = 28/360*100 = 7,78 %


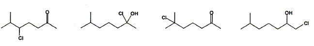
Le traitement de la 6-méthylhept-5-ène-2-one par l''acide chlorhydrique conduit à un dérivé chloré C8H15ClO.

Quelle est sa formule semi-développée ?



électrochimie :

Qu'est-ce qu'une réduction électrochimique ?

Un oxydant gagne des électrons : cet oxydant subit une réduction.

Quel est le nom de l'électrode où se déroule la réaction de réduction lors d'une électrolyse ?

cathode.

Citer une méthode d'analyse électrochimique.

Potentiométrie, coulométrie.

Quel est le rôle d'une électrode de référence ?

La mesure d'une différence de potentiel électrique nécessite deux électrodes : une électrode de mesure et une électrode de référence.

L'électrode dite " de référence" possède un potentiel bien déterminé, constant : ce potentiel sert de "zéro" en quelque sorte.

Les protons H+ sont-ils réductibles ou oxydables ? Ecrire la réaction électrochimique possible.

Réduction de H+ en dihydrogène : 2H+ + 2e- = H2(g).

Classer les composés par ordre croissant de degré d'oxydation :

aldehyde ; alcane ; acide ; alcool.

alcane ; alcool ; aldehyde ; acide.

Citer un composé organique réductible électrochimiquement.

dérivés carbonylé ( acétophénone), hydrocarbures aromatiques, acide salicylique.

Qu'est ce qu'un couple redox ? Donner un exemple.

Ensemble de deux espèces notées Ox / Red telles que : Ox + n e- = Red.

Fe3+ / Fe2+ ; MnO4- / Mn2+.


retour -menu