Aurélie 11/04/07
 

Concours assistant d'ingénieur : RMN, spectro de masse 2004 ( Lille)


Google

 

Exercice 1 :


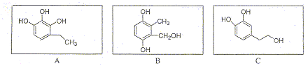
Le pic correspondant à l'ion moléculaire, dans le spectre de masse du composé X, est situé à m/z=154.

Le spectre RMN du proton est fourni ci-dessous. Les protons hydroxyliques sont échangeables et n'apparaissent pas sur le spectre.

  1. Quelle propriété doivent présenter les protons échangeables ? Citer d'autres motifs protonés conduisant au même phénomène.
  2. Quel type de solvant a été utilisé pour obtenir le spectre RMN ?
  3. Quelle réaction correspond à l'échange de protons hydroxyliques ?
  4. Quelle est la structure exacte de X parmi les formules ci-dessous.

Les hydrogènes échangeables ne sont pas liés de manière stable à une molécule ; ils sont en équilibre avec les hydrogènes du solvant. Les protons liés à des groupes amines et hydroxy sont des protons échangeables.

Un pH trop élevé accélère l’échange des protons échangeables avec le solvant : le solvant utilisé a des propriètés basiques.

La réaction correspondant à l'échange de protons hydroxyliques est une réaction acide base.

Triplet à 3 ppm, ( la courbe d'intégration indique deux protons) : -CH2-F ( F noyau benzénique)

Triplet à 4 ppm, ( la courbe d'intégration indique deux protons) : -CH2-OH.

singulet à 7,1 ppm : proton aromatique sans proton en position a.

Doublets à 7 ( en a du CH2-) et 7,2 ppm : deux protons aromatiques situés en a l'un de l'autre .

donc structure C.

Exercice 2 :


On considère la réaction suivante : A ( C5H10O )----> B(C5H8O) ( dans la pyridine en présence de CrO3 )

Proposer les structures de A et B. On donne les spectres IR et RMN.

 

A : le spectre IR indique une large bande vers 3000 cm-1 ( fonction alcool), une absence de bande vers 1700 cm-1 ( pas de groupe >C=O) et un pic vers 1600 cm-1 ( liaison >C=C<)

Le spectre RMN indique : un singulet à 2,2 ppm ( 1 proton) -OH alcool, un singulet à 4,1 ppm ( deux protons) -CH2-O,

un singulet à 5,5 ppm ( 1 proton) C=CH alcène, deux singulets vers 1,7 ppm ( 2*3 protons ) deux groupes CH3 déblindés.

HO-CH2-C(CH3)= CH-CH3.

B : le spectre IR indique une bande vers 1700 cm-1 ( groupe >C=O) et un pic vers 1600 cm-1 ( liaison >C=C<)

Le spectre RMN indique : un singulet à 10 ppm ( 1 proton) -CHO aldehyde, un singulet à 6 ppm ( 1 proton) C=CH alcène

, deux singulets vers 2 ppm ( 2*3 protons ) deux groupes CH3 déblindés.

CHO-C(CH3)= CH-CH3.

Oxydation d'un alcool primaire en aldehyde.

Exercice 3 :


On donne le spectre de masse par impact électronique suivant :

  1. L'ion apparaissant à la masse m/e=108 à quoi correspond-il ? Quelle information structurale peut-on déduire du rapport m/e de cet ion ? Est-il un cation ou un radical cation ? Justifier.
  2. Interpréter les fragmentations principales.
CH3-CH2-Br

Les 2 pics à M et à M+2 ( 108 et 110) d'égale hauteur indique la présence d'un atome de brome.

L'ion apparaissant à la masse m/e=108 correspond au pic moléculaire dont le rapport m/e vaut 1. Il s'agit d'un radical cation (espèce portant un électron dépareillé et une charge positive, formé lors du choc d'un électron contre d'une molécule neutre ).

pics à 79 et 81: Br. ; pic à 29 : CH3-CH2+. ; pic à 27 CH2=CH+. ;

 



 

Exercice 4 :


Une solution standard comprenant trois composés A, B et C, tous trois à la concentration c= 10 mg/L est analysée par chromatographie liquide haute performance ( CLHP) dans les conditions suivantes : colonne garnie de silice greffée C18, phase mobile eau/méthanol, débit : 0,9 mL/min, injection par vanne avec boule de 20 mL, détection dans l'UV à 254 nm. Le chromatogramme obtenu est donné ci-dessous :

temps de rétention (min)
base du pic (min)
surface du pic
A
7,85
0,35
6473 u
B
8,89
0,40
2450 u
C
18,76
0,60
6108 u

  1. S'agit-il d'une chromatographie en phase normale ? en phase inverse ? Pourquoi ?
  2. Définir le temps de rétention d'un composé. Quelle est son utilisation en analyse ? Proposez une classification des trois composés en fonction de leur polarité.
  3. Evaluer la résolution entre les pics A et B ; entre B et C. Comment peut-on intervenir au niveau de la phase mobile pour améliorer cette chromatographie ?
  4. Une prise d'essai de 100 mL d'un échantillon d'eau est extraite par un solvant organique. L'extrait est concentré à 10,0 mL. Cet extrait concentré est injecté dans les mêmes conditions opératoires. Le chromatogramme ne montre qu'un seul pic de temps de rétention 7,86 min et de surface 5817 u. Identifier le composé présent et calculer sa teneur dans l'eau ( mg/L)
  5. A l'aide des spectres UV de A et C présentés ci-dessous et du chromatogramme ci-dessus, tracer une ébauche du chromatogramme que vous obtiendriez en injectant la solution standard à la longueur d'onde l2 en faisant apparaître les hauteurs relatives des pics ( B n'absorbe pas à cette longueur d'onde).

Il s'agit d'une chromatographie en phase inverse : colonne garnie de silice greffée C18, phase mobile eau/méthanol polaire

Le "temps de rétention" :(temps au bout duquel un composé est élué de la colonne et détecté), caractéristique d'un composé pour une colonne et un éluant donnés.

Classification des trois composés en fonction de leur polarité :

La colonne apolaire retient le composé le moins polaire A qui sort donc en dernier ; le plus polaire C sort en premier.

La résolution entre les pics A et B n'est pas très bonne ; entre B et C elle est bonne. Pour améliorer cette chromatographie on peut utiliser une phase mobile de polarité différente.

Une prise d'essai de 100 mL d'un échantillon d'eau est extraite par un solvant organique. L'extrait est concentré à 10,0 mL. Cet extrait concentré est injecté dans les mêmes conditions opératoires. Le chromatogramme ne montre qu'un seul pic de temps de rétention 7,86 min : on identifie donc A.

La surface du pic est proportionnelle à la concentration du composé : c =10*5817/6473=9 mg/L


Le coefficient d'exctinction molaire de C est 4 fois plus grand que celui de A à la longueur d'onde l2 : A et C ont la même concentration ; l'absorbance de C sera donc 4 fois plus grande que celle de A ; B n'absorant pas à cette longueur d'onde, le pic de B ne figure pas sur le spectre.

Exercice 6:


On donne les représentations suivantes :

Représenter les composés A, B et C en représentation de Fischer.

Quelle relation existe t-il entre les composés (A et D), (C et D), (A et B), (A et C), (B et C) ?

Dans la représentation D, indiquer la configuration absolue des deux carbones asymétriques.

 

(A et D) : énantiomères ; (C et D) : diastéréoisomères ; (A et B) diastéréoisomères ; (A et C) diastéréoisomères ; (B et C) conformères.

Dans la représentation D, le carbone porteur du groupe OH est dextrogyre (D), le carbone porteur du Cl est lévogyre (L):

Ces deux atomes de carbone sont S( sinister)

 


 

retour -menu