Aurélie 27/04/07
 

Concours ca/plp : synthèses organiques d'un ester 2007


Google

 
Un groupe d'élèves décide de réaliser et de suivre des synthèses organiques, celle d'un ester E de formule HCOO-C2H5 et d'un ester M.

 

masse volumique (g/mL)
température d'ébullition (°C)
solubilité dans l'eau
acide éthanoïque
1,05
117,9
totale
acide méthanoïque
1,22
100,7
totale
éthanol
0,79
78,5
totale
méthanol
0,79
65,0
totale
ester E
0,91
54,3
faible
ester M
0,97
31,5
moyenne

I. L'ester E :

  1. Ecrire la formule développée de l'ester E.
  2. Donner son nom en nomenclature systématique.
  3. Calculer la masse molaire de cet ester.
  4. Dans le commerce spécialisé, on trouve des flacons de 50 ml de l'ester E. Quelle quantité de matière contient le flacon ?
II. Synthèse de l'ester E :

Les élèves trouvent que la synthèse nécessite un alcool A et un réactif B. le protocole suggère de réaliser un montage à reflux puis d'introduire dans le ballon 31 mL d'alcool A, 20 mL du produit B ainsi que quelques gouttes d'acide sulfurique concentré et quelques grains de pierre ponce. Les livres stipulent que le rendement est de 67 % après relargage.

  1. Nommer l'alcool A.
  2. Ecrire la formule développée du réactif B.
  3. Ecrire l'équation associée à la réaction d'estérification.
  4. Quelles sont les propriétés caractéristiques de cette réaction d'estérification ?
  5. Faire un schéma annoté du montage à réaliser.
  6. Pourquoi ajoute t-on de l'acide sulfurique ?
  7. Pourquoi ajoute t-on de la pierre ponce ?
  8. Dresser un tableau d'avancement pour cette réaction.
  9. Quelle masse d'ester peut-on espérer obtenir ?
  10. Proposer une technique pour extraire l'ester E en fin de réaction.
  11. En modifiant les quantités initiales de réactifs, comment peut-on espérer améliorer le rendement ?
  12. Quel est l'interêt de chauffer pour réaliser cette transformation chimique ?
  13. Ecrire l'équation associée à une autre réaction permettant d'obtenir un rendement de 100 % lors de la synthèse de E.
III. Amélioration du rendement :

Dans un manuel, on propose la synthèse de l'ester M en utilisant un montage de distillation fractionnée. De l'acide méthanoïque, du méthanol et toujours quelques gouttes d'acide sulfurique concentré sont introduits dans le réacteur. Ce dispositif permet d'obtenir un rendement proche de 100 %.

  1. A quoi correspondent les lettres "R" et "S" ci-dessus ?
  2. Faire le schéma annoté du montage.
  3. Quelle est la composition des premières gouttes récupérées au cours de la distillation ?
  4. Quelle est alorsla température en tête de colonne ? Justifier.
  5. Comment évolue la température tant que la nature du produit qui s'écoule ne change pas ?
  6. Comment déterminer expérimentalement la fin de la réaction ?
  7. A quelle condition un tel dispositif expérimental permet -il d'améliorer le rendement d'une réaction d'estérification ?


I. L'ester E :

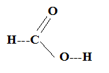
Formule développée de l'ester E.

Son nom en nomenclature systématique : méthanoate d'éthyle.

Masse molaire de cet ester : M= 3*12+2*16+6=74 g/mol.

Dans le commerce spécialisé, on trouve des flacons de 50 ml de l'ester E. Quantité de matière contenue dans le flacon :

masse (g) = masse volumique (g/mL) * volume (mL) = 0,91*50 = 45,5 g.

quantité de matière (mol) = masse (g) / masse molaire (g/mol) = 45,5 / 74 =0,6149 mol ( 0,61 mol).

II. Synthèse de l'ester E :

Les élèves trouvent que la synthèse nécessite un alcool A et un réactif B. le protocole suggère de réaliser un montage à reflux puis d'introduire dans le ballon 31 mL d'alcool A, 20 mL du produit B ainsi que quelques gouttes d'acide sulfurique concentré et quelques grains de pierre ponce. Les livres stipulent que le rendement est de 67 % après relargage.

Nom de l'alcool A : éthanol CH3-CH2OH.

Formule développée du réactif B : acide méthanoïque

Equation associée à la réaction d'estérification :

CH3-CH2OH + = +H2O.

Les propriétés caractéristiques de cette réaction d'estérification : lente, athermique, limitée par l'hydrolyse de l'ester.

Schéma annoté du montage à réaliser :

(1) sortie de l'eau

(2) entrée de l'eau

(3) réfrigérant

(4) ballon

(5) chauffe ballon

L'acide sulfurique joue le rôle de catalyseur.

La pierre ponce régularise l'ébullition lors du chauffage à reflux.

Tableau d'avancement pour cette réaction :

quantités de matière initiales : masse (g) = masse volumique (g/mL) * volume (mL)

acide méthanoïque : m = 1,22*20 = 24,4 g ; alcool éthylique : 31*0,79 = 24,5 g

quantité de matière (mol) = masse (g) / masse molaire (g/mol)

acide méthanoïque : 24,4 / 46=0,53 mol ; éthanol : 24,5/46 = 0,53 mol.

avancement (mol)
CH3-CH2OH
+ HCOOH
= HCOOC2H5
+ H2O
initial
0
0,53
0,53
0
0
en cours
x
0,53-x
0,53-x
x
x
à l'équilibre
xéq
0,53-xéq
0,53-xéq
xéq
xéq
xmax = 0,53 mol

Masse d'ester théorique : xmax M(ester) = 0,53*74 = 39,2 g ( 39 g).

Technique pour extraire l'ester E en fin de réaction :

décantation, l'ester peu soluble dans l'eau et moins dense que la phase aqueuse occupe la partie supérieure.

En modifiant les quantités initiales de réactifs, ( excès de l'un des réactifs) on peut espérer améliorer le rendement.

Interêt de chauffer pour réaliser cette transformation chimique : on augmente la vitesse de la réactin ( la température est un facteur cinétique).

Equation associée à une autre réaction permettant d'obtenir un rendement de 100 % lors de la synthèse de E :

Remplacer l'acide méthanoïque par l'anhydride méthanoïque (HCO)2O ou par le chlorure de méthanoyle HCOCl.

(HCO)2O +  CH3-CH2OH -->HCOOC2H5 + HCOOH

HCOCl +   CH3-CH2OH -->HCOOC2H5 + HCl



III. Amélioration du rendement :

La lettre "R" correspond aux risques présentés par le méthanol.

La lettre "S" correspond aux mesures de sécurité à mettre en oeuvre.

Schéma annoté du montage de distillation fractionnée :

Composition des premières gouttes récupérées au cours de la distillation : espèce la plus volatile, l'ester M ( Tébullition = 31,5°C)

La température en tête de colonne est 31,5°C.

La température reste constante tant que la nature du produit qui s'écoule ne change pas.

On détermine expérimentalement la fin de la réaction lorsque la température s'élève.

Un tel dispositif expérimental permet d'améliorer le rendement d'une réaction d'estérification ( éliminer l'ester ou l'eau au fur et à mesure où il se forme) dans la mesure où l'ester ou bien l'eau sont plus volatils que les ractifs.


 

retour -menu