|
|
Soit l'amine A sous forme racémique.
Nommez le composé A en nomenclature IUPAC.
2-amino-3-méthylbutane.
Définir "énantiomérie".
Une espèce chimique est chirale si elle n'est pas superposable à son image dans
un miroir ( ou dans une symétrie par rapport à un plan). Une molécule comptant un atome de carbone asymétrique est chirale.
Substance optiquement active : solide, liquide ou
substance dissoute en solution provoquant une rotation du plan de polarisation
de la lumière polarisée traversant la substance.
Deux énantiomères ne différent que par leur propriétés optiques ; ils sont
séparables. Ce sont 2 isomères de configuration, images l'un de l'autre dans un
miroir.
Définir le terme " racémique".
Un mélange racémique est un mélange en proportions égales de deux énantiomères.
Peut-on séparer deux énantiomères par distillation ?
Non, deux énantiomères ne différent que par leur propriétés optiques.
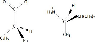
Soit l'acide B :
Ce composé est énantiomériquement pur de configuration R et +. L'étoile indique la présence d'un atome de carbone asymétrique.
Nommer B et le dessiner en utilisant la représentation de Cram.
Acide 2-phénylbutanoïque.
Dans la représentation de Cram le groupe phényl est noté Ph.
Que signifie le signe "+" ?
+, - sont liés au pouvoir rotatoire. Molécule qui a la propriété de faire dévier le plan de
polarisation de la lumière dans le sens des aiguilles d'une montre ( +), dans le
sens contraire des aiguilles d'une montre (-).
Dessiner en projection de Fischer les différents stéréoisomères de B.
La chaine carbonée principale se situe sur la ligne verticale. Le carbone le plus oxydé est placé dans la moitié supérieure.

|
.
Si la transformation de l'étape 1 n'avait pas eu lieu, qu'aurait donné la réaction entre A et B ?
La réaction entre une base, l'amine et l'acide carboxylique donne :
Quelle relation de stéréochimie lie D et D' ?
D et D' sont des diastéréoisomères.
Quelle est la fonction chimique de D et D' ?
D et D' sont des amides.
Quelle est la méthode la plus appropriée pour séparer D et D' ?
On peut séparer les diastéréoisomères par chromatographie, distillation, recristallisation...
|
|