Aurélie 12/01/12
 

 

   Actuateur électromécanique  : bobine mobile dans un champ magnétique, impédance motionnelle : concours Capes  2012.



 
Un aimant permanent, à symétrie de révolution autour de l'axe Oz, crée un chmamp magnétique radial qui s'écrit , B0 étant supposé identique en tout point de l'entrefer.représente le vecteur unitaire radial des coordonnées cylindriques. Le bloc de lecture est constitué d'un bobinage de Nb spires circulaires de rayon rb, solidaire d'un cadre sur lequel est fixée une lentille convergente. On note ib le courant électrique qui parcourt les spires ; son orientation est précisée.



Le bloc de lecture, mobile en translation parallèlement à Oz, est relié à l'aimant par l'intermédiaire d'un système de suspension que l'on assimilera à un ressort unique de raideur k, en parallèle avec un amortisseur non représenté. l'action de l'amortisseur sur l'équipage mobile est modélisé par une force de frottement visqueux, donnée par la relation , où vb est la vitesse du bloc de lecture par rapport à l'aimant, et f un coeficient positif. L'aimant est fixe dans le référentiel d'étude supposé galiléen. On note m la masse de l'équipage mobile, c'est à dire du bloc de lecture.
Donner l'expression de la force qui s'exerce sur l'ensemble des Nb spires parcourues par ib, en raison du champ magnétique imposé par l'aimant. Quel est le nom du physicien associé à la loi donnant cette force ?
Longueur des conducteurs placés dans le champ magnétique : Nb 2 p rb.
Expression de la force de Laplace : F = Nb 2 p rb B0 ib.

Préciser au cours de quels siècles il a vécu et énoncer deux autres lois de la phyqique attachées à son nom.
Laplace ( 1749 ; 1827 ).
Au cours d'une transformation isentropique d'un gaz parfait on a la relation suivante : PVg = constante.
En mécanique des fluides, la loi de Laplace relie la courbure locale de l'interface séparant deux milieux à la différence de pression  entre ces deux milieux.
 On repère par zb la position du centre de masse G du bloc de lecture. On pose zb=0 à l'équilibre.

En précisant la loi utilisée, établir l'équation mécanique vectorielle régissant le mouvement du bloc de lecture
. On néglige son poids.
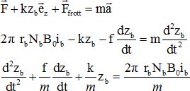
Ce bloc est soumis à la force de laplace, à une force de rappel exercée par le ressort et à la force de frottement visqueux. La seconde loi de Newton conduit à :

la figure suivante donne un aperçu de la configuration du bobinage et de son alimentation modélisée par un générateur idéal de tension, de force électromotrice ub. Cette force électromotrice donne naissance à un courant ib, qui provoque un mouvement selon Oz du bloc de lecture, de manière à corriger les défauts de focalisation. Pour des soucis de clarté, le nombre de spires n'est pas respecté, et il manque la lentille, son support, et le système de suspension.


On note Rb la résistance électrique de la bobine entre les points A et B. Son auto-inductance est négligeable.
Expliquer qualitativement pourquoi le bobinage est le siège d'un phénomène d'induction. Enoncer la loi de Lenz.
La bobine est en mouvement suivant la verticale dans un champ magnétique horizontal. La bobine sera parcourue par un courant induit, qui par ces effets électromagnétiques, s'oppose à la cause qui lui donne naissance.
On note e A--> B la force électromotrice induite dans la bobine, du fait de son mouvement de translation suivant Oz. Cette grandeur est algébrique et orientée de A vers B.
Compte tenu de la loi de Lenz, e A--> B doit-elle être positive ou négative lorque le bobinage est animé d'un mouvement dans le sens des z croissants ?
Le courant induit, par ses effets électromagnétiques, s'oppose au déplacement vertical vers le haut. Le courant induit a le sens contraire de ib : e A--> B est donc positive, compte tenu de l'orientation choisie..
On rappelle que .
Exprimer e A--> B en fonction de dzb/dt, rb, Nb,et B0.
On pourra assimiler la portion AB du circuit à Nb spires circulaires et négliger les autres contributions.
e A--> B  = vb B0 2 p rb Nb = B0 2 p rb Nb dzb/dt.
L'auto-inductance de la bobine étant négligée, représenter le schéma équivalent du circuit électrique modélisant le bobinage associé à son alimentation, en y faisant apparaître le courant ib.
Ecrire l'équation caractéristique correspondante.



On se  place en régime harmonique de pulsation w, et on adopte la notation complexe ( ub = Ub exp( jwt) ; ib = Ib exp( jwt) ; zb = Zb exp( jwt)).
A l'aide de l'équation électrique et de l'équation mécanique, définir puis exprimer l'impédance complexe totale Z de l'actuateur électromécanique.
Ub exp( jwt) = R Ib exp( jwt) + B0 2 p rb Nb (jw)Zb exp( jwt).
Ub = R Ib  + B0 2 p rb Nb (jw)Zb (1)
A partir de l'équation mécanique, il vient : (jw)2Zb +f / m (jw)Zb + k / m Zb  = B0 2 p rb Nb / m Ib.
[(jw)2 +f / m (jw) + k / m ] Zb  = B0 2 p rb Nb / m Ib.
Zb  =B0 2 p rb Nb / m Ib / [(jw)2 +f / m (jw) + k / m ].
Repport dans (1) : Ub = R Ib  +( B0 2 p rb Nb )2(jw) / [(jw)2 m +f  (jw) + k  ] Ib
Ub =[ R   +( B0 2 p rb Nb )2(jw) / [(jw)2 m +f  (jw) + k  ]  ] Ib .
Ub / Ib = Z = R   +( B0 2 p rb Nb )2(jw) / [(jw)2 m + f  (jw) + k  ].
La première partie de cette impédance correspond à l'impédance de la bobine, l'autre partie est un terme dépendant du mouvement de la membrane : on l'appelle "impédance motionnelle".
Lecture de l'information.
Dans un CD réalisé par pressage, l'information est codée sous forme de "creux" et de "plats". Les creux ont une profondeur hc et une largeur plus faible que le diamètre du spot laser. La lumière qui se réfléchit au fond d'un creux a plus de chemin à parcourir dans le polycarbonate que celle qui se réfléchit sur la zone qui borde le creux, c'est à dire sur le plat.
On donne hc = lpoly/ 4, lpoly étant la longueur d'onde dans le polycarbonate de l'onde émise par la diode laser. On note l0 la longueur d'onde dans le vide de l'onde émise par la diode laser.
Pour simplifier, le faisceau laser qui arrive sur le CD est assimillée à une onde plane progressive monochromatique. Elle éclaire les creux et les plats de la couche métallique en incidence normale.




Lorsque le spot laser est en face d'un creux, il y a interférence entre la partie de l'onde qui se réfléchit sur la plat et celle qui se féfléchit sur le creux.
Quel est le lien entre lpoly, l0 et l'indice optique n du polycarbonate ?
lpoly = v / f ; l0 = c / f  ; n = c / v d'où : lpoly = l0 / n.
Quel est la différence de chemin optique d à l'infini entre les ondes qui se réfléchissent sur un creux et celles qui se réfléchissent sur un plat ?
d = 2 hc =
lpoly/ 2 =½ l0 / n.
En déduire que les ondes qui se réfléchissent sur un creux sont en opposition de phase avec celles qui se réfléchissent sur un plat.
La différence de marche est un multiple impair de la demi-longueur d'onde
lpoly, les ondes qui se réfléchissent sur un creux et celles qui se réfléchissent sur un plat sont donc en opposition de phase.
Lorsque le spot est entièrement en face d'un plat, l'éclairement est maximal. Il est minimal, par interférence destructive, lorsque le spot laser est en face d'un creux. Ainsi, l'éclairement fluctue à mesure que la piste défile devant le spot laser.

 









menu