Aurélie 13/11/09
 

 

chimie organique : RMN, énantiomères, diastéréoisomères, acétal,  concours chimie agrégation 2008.




Définitions préalables :

Définir chiralité, énantiomérie, diastéréoisomérie.

Chiralité : désigne la propriété d'un objet de ne pas être superposable à son image dans un miroir ( ou dans une symétrie par rapport à un plan).

Une main n'est pas superposable à son image dans un miroir.

Une molécule comptant un atome de carbone asymétrique est chirale

Deux énantiomères ne différent que par leur propriétés optiques ; ils sont séparables. Ce sont 2 isomères de configuration, images l'un de l'autre dans un miroir.

« diastéréoisomères » : encore stéréoisomères qui ne sont pas des énantiomères.

Des isoméres cis- et trans- (ou Z et E) sont des diastéréoisomères.

Illustration expérimentale mettant en évidence les propriétés différentes de deux énantiomères.

- Cas de la deltaméthrine :l'un des énantiomère a des propriétés insecticides, l'autre n'en possède pas.

- Les deux énantiomères du citronellal donnent les arômes de citron et d'orange.

Le non dédoublement d'énantiomères dans un médicament a eu des conséquences dramatiques dans les années 1960 : les deux énantiomères de la molécule active ont un effet sédatif, mais l'énantiomère (S) a en plus un effet tératogène.

Rappeler le nom de ce médicament et la signification du mot tératogène.

La thalidomide ; issu du grec, le terme tératogène signifie « création de monstres ».

Le mot "racémique" vient du latin racemus qui signifie grappe de raisin. Le premier dédoublement d'un mélange racémique a été réalisé par Pasteur.

Comment a t-il réalisé cette séparation ? Quel est le rapport avec la grappe de raisin ? Situer l'époque de cette séparation.

Vers 1860, Pasteur sépare manuellement avec une petite pince des cristaux d'acide tartrique énantiomères. L'acide tartrique était issu du jus de raisin.

La monensine possède des propriétés antibiotiques intéressantes pour lutter contre les infections coccidiennes ( maladies du bétail ). Nous étidions ici partiellement la synthèse de deux fragments A et B nécessaires  à la synthèse totale de la monensine, qui fut réalisée en 1979 par Y Kishi.
Rappel : Me- désigne le groupe méthyle, pH- désigne le groupe phényle C6H5-, et Et- le groupe éthyle.



Etude des spectres RMN.
La synthèse de A part d'un dérivé du furane. Les spectres RMN 1H du furane et du tétrahydrofurane ( ou THF) sont donnés.


Comment interpréter les déplacements chimiques des protons du furane par rapport au THF ? Attribuer les pics dans chaque spectres
.

Les protons d'un cycle aromatique sont très déblindés( cas du furane).
Pour le furane, comme pour le THF, les protons les plus déblindés sont situés en position a de l'atome d'oxygène.
Deux isomères I1 et I2 du THF ont  des spectres caractérisés par les signaux ci-dessous.

Identifier I1 et I2.
I1 d ppm
multiplicité
intégration
remarques
1,06
doublet
6
6 protons ayant un proton, proche voisin ; -CH (CH3)2.
2,39
multiplet
1
1 proton ayant 6 protons, proches voisins ; le déplacement chimique indique (CH3)2CH-CO-
9,57
singulet
1
1 proton sans proton, proche voisin ; le déplacement chimique conduit  au proton du groupe aldehyde
D'où la formule semi-développée de I2 : (CH3)2CH-CHO.
I2 d ppm
multiplicité
intégration
remarques
1,06
triplet
3
3 protons ayant deux protons, proches voisins
2,14
singulet
3
3 protons n'ayant aucun proton, proche voisin ; le déplacement chimique indique CH3-CO-
2,45
quadruplet
2
2 protons ayant 3 protons, proches voisins ; le déplacement chimique conduit  à : CH3-CH2 -CO-







Quelques aspects de la synthèse de A.
Le 2-furilacétonitrile 1 est traité par du butyllithium ( Buli) dans le tétrahydrofurane ( THF), puis est opposé  à l'iodure de méthyle MeI : on obtient le composé 2. Celui-ci est ensuite chauffé  à reflux dans un solvant méthanol-eau pour obtenir le produit 3.

Le composé 1 possède un hydrogène légèrement acide : justifier en écrivant les formes mésomères de la base conjuguée.

Proposer un schéma réactionnel pour le passage de 1 à 2.

Quelle réaction a lieu dans la seconde étape 2-->3 ?
Hydrolyse de la fonction nitrile -CN en acide carboxylique.
Le composé 3 possède un atome de carbone asymétrique : obtient-on les deux énantiomères ? Justifier.
Dans l'étape 1-->2, le carbanion ne possède pas une configuration particulière : la réaction 1 --> 2 n'est pas stéréosélective : le mélange racémique est donc obtenu.
La suite de la synthèse est réalisée avec un seul des deux énantiomères, 3' :

Donner la configuration absolue de l'atome de carbone asymétrique de 3' en justifiant.

Numéroter de façon décroissante chacun des quatre substituants selon son numéro atomique.

(1) -COOH ; (2) cycle ; (3) CH3 ; (4) H.

On place alors l'atome (ou le groupement) de numéro le plus élevé derrière.

On regarde dans quel sens, sens horaire ou trigonométrique, on passe du numéro 1, au 2, au 3.

- Si le sens de rotation est le sens horaire (ou anti-trigonométrique), le carbone est Rectus (R),

- Si le sens de rotation est le sens trigonométrique (ou anti-horaire), le carbone est Sinister (S).

L'atome de carbone asymétrique est donc R.
Le passage de 4 à 5 est une réaction de Wittig :  quel est le réactif utilisé pour réaliser cette transformation ?
Les ylures de phosphore sont p dans la réaction de Wittig  : ils réagissent sur des carbonyles ( aldehyde ou cétone ) pour conduire à des dérivés éthylèniques.





Quelques aspects de la synthèse de B.

Le composé 10 est traité en milieu acide par du benzaldehyde Ph-CHO pour obtenir 11 ; celui-ci, traité par  un mélange LiAlH4 / AlCl3 dans l'éthoxyéthane ( diethylether ) conduit au monoester 12  racémique.

Quelle fonction chimique a-t-on créée dans le composé 11 ? Proposer un mécanisme pour le pasage de 10 à 11.

En milieu acide, on forme un acétal.

Afin de séparer les deux énantiomères de 12, on le traite par du (S)-(+)-1-(1-naphtyl)-éthylisocyanate :

Un isocyanate R-N=C=O réagit avec un alcool R'-OH pour donner un uréthane R-NH-COOR' ; cet uréthane peut être réduit par LiAlH4 pour régénérer R'-OH.

Expliquer comment ce traitement permet la séparation des énantiomères de 12.
L'isocyanate de configuration S réagit sur un composé racémique : il en résulte deux diastéréoisomères ( S, R) et (S, S); les propriétés physiques de ces derniers étant différentes, on peut donc facilement les séparer. On régénère ensuite séparément les deux énantiomères purs de l'alcool de départ.
Un énantiomère de 12 ainsi isolé subit alors une oxydation douce pour donner un aldehyde 13, qui réagit ensuite avec un organomagnésien dans le THF à 0°C. On obtient, après hydrolyse, le composé 14 :

Donner une représentation spatiale du composé 13. Donner la formule de l'organomagnésien utilisé.

De quel énantiomère de 12 est-on parti ? Montrer que 14 est un mélange de stéréoisomères, en précisant leur relation  de stéréoisomérie.

La réaction entre un organomagnésien et un aldehyde n'est pas stéréosélective : le nouvel atome de carbone crée peut être R ou S : il en résulte deux diastéréoisomères RS et SS.




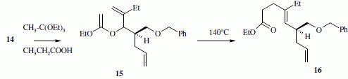
La suite de la synthèse se déroule comme suit :


Le composé 15 n'est pas isolé et un réarrangement thermique conduit au composé 16.
Représenter le mouvement des électrons lors de cette transformation sigmatropique.

Pourquoi n'est-il pas nécessaire de séparer les stéréoismères de 14 ?
Les deux diastéréoisomères de 14 donnent le même produit 16.



retour -menu